Por Tatiane Martinelli | GNEWSUSA

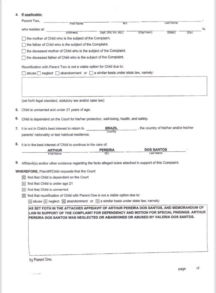
• CONFORME ESTABELECIDO NO DECLARADO ANEXO DE ARTHUR PEREIRA DOS SANTOS, E NO MEMORANDO DE LEI EM APOIO À RECLAMAÇÃO POR DEPENDÊNCIA E MOÇÃO PARA DESCOBERTAS ESPECIAIS. ARTHUR PEREIRA DOS SANTOS FOI NEGLIGENCIADA, ABANDONADA OU ABUSADA POR VALERIA DOS SANTOS.

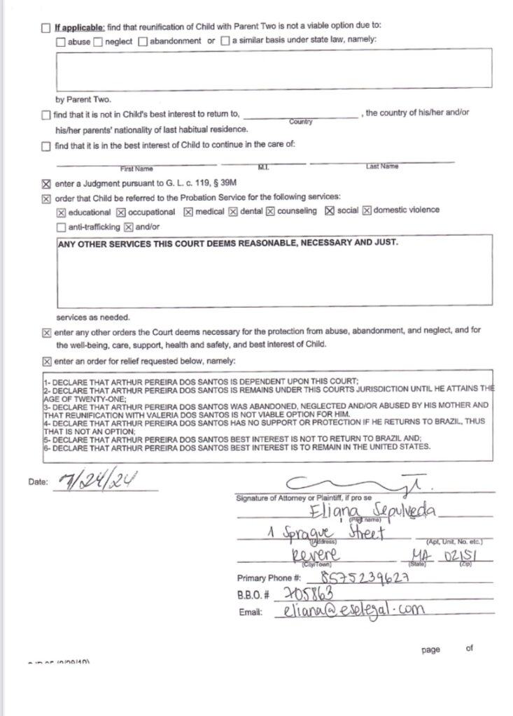
• CONFORME ESTABELECIDO NO DECLARADO ANEXO DE ARTHUR PEREIRA DOS SANTOS, E NO MEMORANDO DE LEI EM APOIO À RECLAMAÇÃO POR DEPENDÊNCIA E MOÇÃO PARA DESCOBERTAS ESPECIAIS. ARTHUR PEREIRA DOS SANTOS FOI NEGLIGENCIADA, ABANDONADA OU ABUSADA POR VALERIA DOS SANTOS.

• Entrar em quaisquer outras ordens que o Tribunal considere necessárias para a proteção contra abuso, abandono e negligência, e para o bem-estar, cuidado, apoio, saúde e segurança e o melhor interesse da Criança.
2- DECLARAR QUE ARTHUR PEREIRA DOS SANTOS ESTÁ SOB A URSÃO ATÉ QUE ELE ATINJA A IDADE DE VINTE E UM;
3- DECLARAR QUE ARTHUR PEREIRA DOS SANTOS FOI ABANDONADO, NEGLIGENCIADO E/OU ABUSADO POR SUA MÃE E ESSA REUNIFICAÇÃO COM VALERIA DOS SANTOS NÃO É UMA OPÇÃO VIÁVEL PARA ELE;
4- DECLARAR QUE ARTHUR PEREIRA DOS SANTOS NÃO TEM APOIO OU PROTEÇÃO SE RETORNAR AO BRASIL, ASSIM ISSO NÃO É UMA OPÇÃO;
5 – DECLARAR QUE O INTERESSE DE ARTHUR PEREIRA DOS SANTOS É PERMANECER NOS ESTADOS UNIDOS;

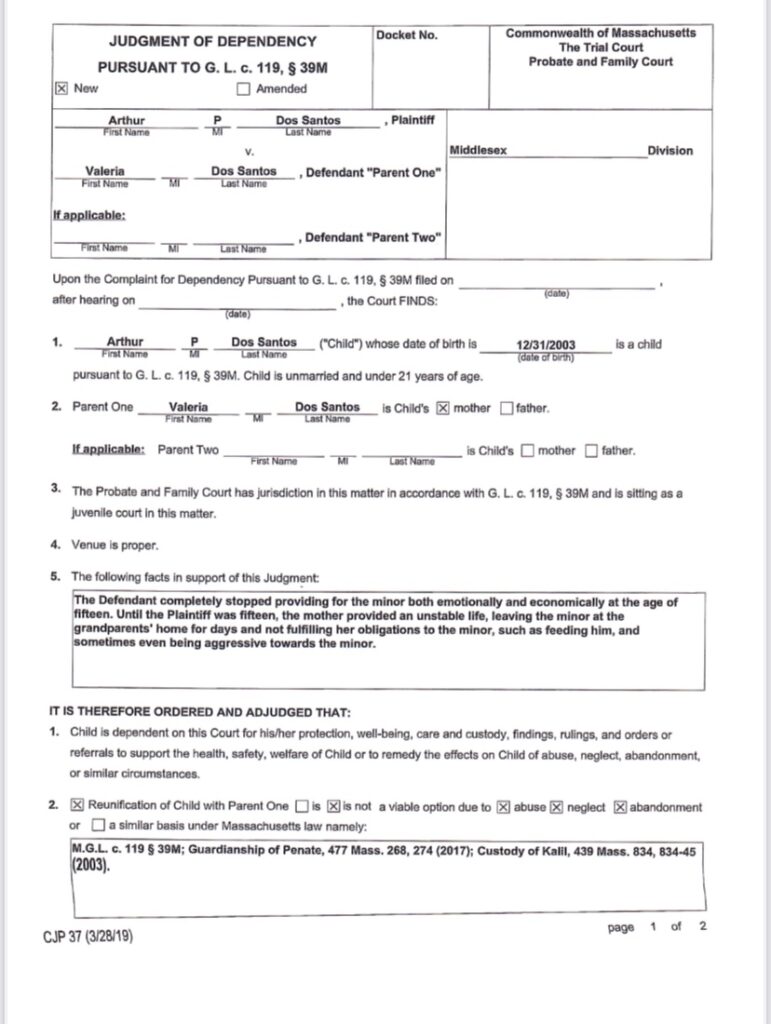
• O Réu parou completamente de prover para o menor tanto emocional quanto economicamente com a idade de Quinze. Até o autor aos quinze anos, a mãe proporcionou uma vida instável, deixando o menor no Avós em casa por dias e não cumprindo suas obrigações com o menor, como alimentá-lo.

• As descobertas especiais de fato e as Decisões de Lei são incorporadas aqui.
• Leia mais:
Uma mulher perde a vida a cada 10 minutos no mundo devido à violência doméstica
Operação da PF combate tráfico ilegal de armas em Porto Seguro, Bahia.
Grupo City avança na contratação de David Martins, joia do América-MG

Faça um comentário