Por Tatiane Martinelli | GNEWSUSA
• DECLARAR QUE ANA CLAUDIA FARIA SOB A JURISDIÇÃO DESTE TRIBUNAL ATÉ ATINGIR A IDADE DE VINTE E UM;
• DECLARAR QUE ANA CLAUDIA FARIA FOI ABANDONADA, NEGLIGENCIADA E/OU ABUSADA POR SEU PAI E QUE A REUNIFICAÇÃO COM CLAUDIO LOPES DE FARIA NÃO É UMA OPÇÃO VIÁVEL PARA ELA;
• DECLARAR QUE ANA CLAUDIA FARIA NÃO TEM APOIO OU PROTEÇÃO SE ELA RETORNAR AO BRASIL, ENTÃO ISSO NÃO É UM OPÇÃO;
• DECLARAR QUE O MELHOR INTERESSE DE ANA CLAUDIA FARIA NÃO É RETORNAR AO BRASIL
• DECLARAR QUE O MELHOR INTERESSE DE ANA CLAUDIA FARIA É PERMANECER NOS ESTADOS UNIDOS.

• QUAISQUER OUTRAS ORDENS QUE ESTE TRIBUNAL CONSIDERE RAZOÁVEIS E JUSTAS.

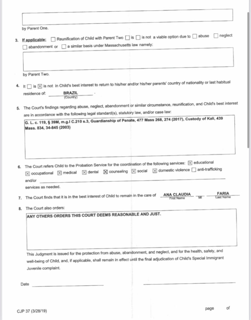
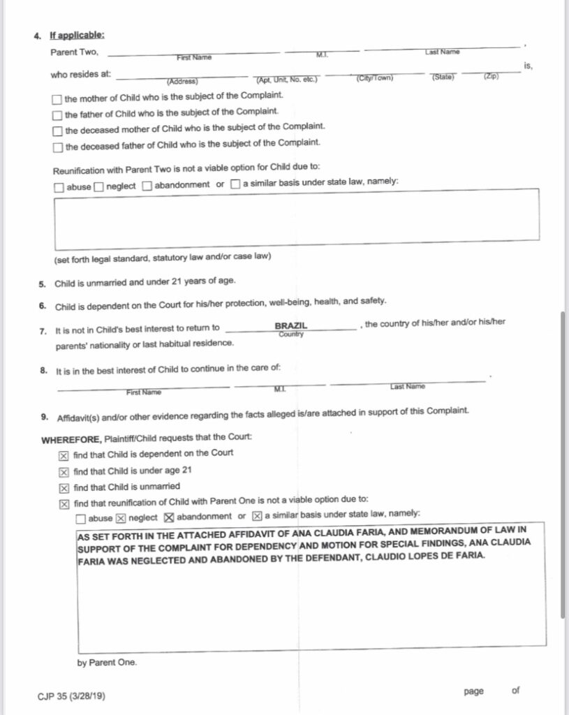
CONFORME ESTABELECIDO NA DECLARAÇÃO JURAMENTADA EM ANEXO DE ANA CLAUDIA FARIA, E MEMORANDO DE DIREITO EM APOIO À RECLAMAÇÃO POR DEPENDÊNCIA E MOÇÃO PARA DESCOBERTAS ESPECIAIS, ANA CLAUDIA FARIA FOI NEGLIGENCIADA E ABANDONADA PELO RÉU, CLAUDIO LOPES DE FARIA.

CONFORME ESTABELECIDO NA DECLARAÇÃO JURAMENTADA EM ANEXO DE ANA CLAUDIA FARIA, E MEMORANDO DE DIREITO EM APOIO À RECLAMAÇÃO POR DEPENDÊNCIA E MOÇÃO PARA DESCOBERTAS ESPECIAIS, ANA CLAUDIA FARIA FOI NEGLIGENCIADA E ABANDONADA PELO RÉU, CLAUDIO LOPES DE FARIA.

DECLARAR QUE O AUTOR DEPENDE DESTE TRIBUNAL; DECLARAR QUE O AUTOR PERMANECE SOB JURISDIÇÃO DESTE TRIBUNAL ATÉ QUE ELA ATINJA A IDADE DE VINTE E UM;
DECLARE QUE O AUTOR FOI NEGLIGENCIADO E ABANDONADO PELO RÉU, E ESSA REUNIFICAÇÃO COM O RÉU NÃO É UMA OPÇÃO VIÁVEL PARA ELA;
DECLARE QUE O AUTOR NÃO TEM APOIO OU PROTEÇÃO SE DEVOLVIDO AO BRASIL, PORTANTO, ISSO NÃO É UMA OPÇÃO;
DECLARE QUE É DO MELHOR INTERESSE DO AUTOR NÃO RETORNAR AO BRASIL;
E DECLARAR QUE É DO MELHOR INTERESSE DO AUTOR PERMANECER NO ESTADOS UNIDOS.


Faça um comentário